******bevictor伟德官网-韦德官方网站
校友会新闻
您的当前位置是: 首页 -> 新闻通告 -> 校友会新闻 -> 正文
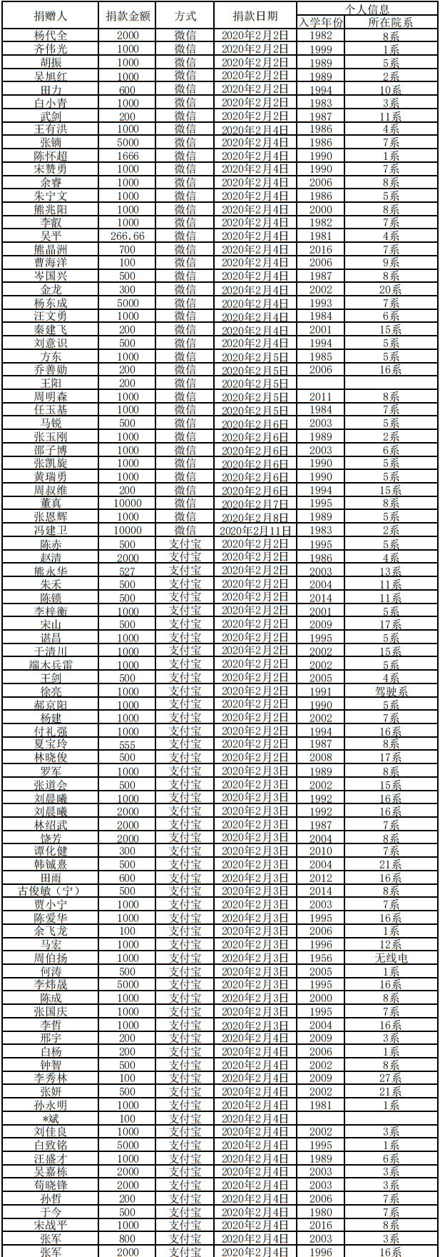
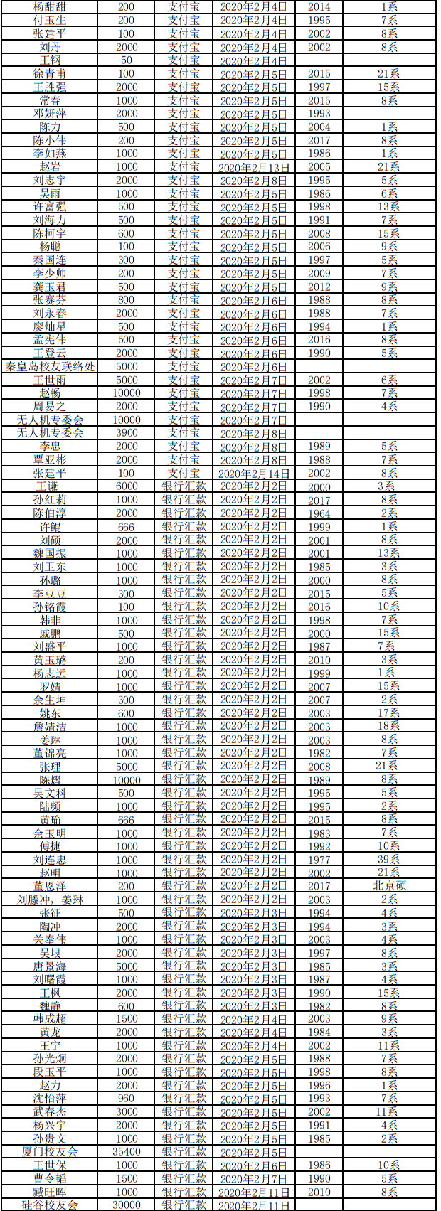
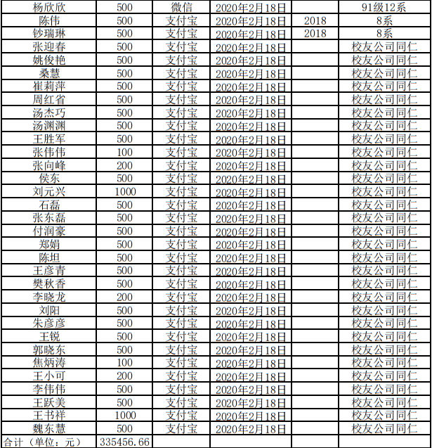
“三帮”战“疫”|全球北航校友,这样行动!
       文章来源:        浏览:

bevictor伟德







出品 | 航小萱®工作室

来源|北航校友总会

编辑 | 贾莉蓉 王相予 史越 尹泽华
 


那么,问题来了

留言区告诉大家

你知道的北航校友抗“疫”事迹!

和小萱一起

为充满大爱的北航校友

1000个在看(赞)                

 

上一条:北航师生今晚共上央视一堂好课,北航院士主讲!

下一条:@北航全球校友 北航湖北校友会接受捐助 | 您的爱心我们传递,使命必达!

地址:北京市海淀区学院路35号bevictor伟德校友之家

邮箱: xyh@buaa.edu.cn
邮编:100191